GUÍA  TÉCNICA: Métodos cualitativos para el análisis de riesgos 

Indice

2 MÉTODOS PARA LA IDENTIFICACIÓN DE RIESGOS QUÍMICOS                                    

MÉTODOS PARA LA IDENTIFICACIÓN DE RIESGOS QUÍMICOS

Métodos cualitativos

Métodos semicuantitativos

Indice de DOW de incendio y explosión

Índice de MOND

Otros métodos de apoyo

Métodos para la identificación de otros riesgos

Resumen

2.2.2 Indice de MOND

2.2.2.1 Descripción

Este método fue desarrollado por técnicos de Imperial Chemical Industries PLC (ICI) a partir deĦ índice DOW. La primera versión fue publicada en 1979 y la segunda, que se describe a continuación, en 1985.

Ya se ha comentado anteriormente que la principal diferencia frente al Indice de DOW, ampliamente expuesto en el apartado 2.2.1 de esta Guía, es que el Indice de MOND considera la toxicidad de las sustancias presentes, y este parámetro es introducido como un factor independiente, considerando los efectos de las sustancias tóxicas por contacto cutáneo o por inhalación.

Para un conocimiento exhaustivo del método, como en el caso del índice de DOW, se recomienda consultar la Guía publicada por ICI. Como comentario general, y referido al índice de DOW, hay que indicar que el índice de MOND es, en general, más detallado, tienen en cuenta mayor número de parámetros de riesgo y bonificaciones y, finalmente, facilita una clasificación de unidades en función del riesgo.

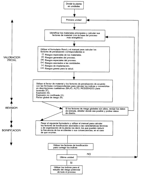
Un diagrama descriptivo del método se incluye en la figura 2.10.

FIGURA2.10 ESQUEMA GENERAL DEL METODO DEL INDICE MOND 

2.2.2.2 Ambito de aplicación

Se seleccionará este método cuando en la instalación a estudiar la presencia de productos tóxicos sea importante.

2.2.2.3 Recursos necesarios

En comparación con el índice DOW, el método MOND utiliza menos recursos gráficos, siendo necesario un mayor número de cálculos para determinar el mayor número de parámetros a considerar.

Por ello, ya desde la publicación de la segunda edición en 1985, se anunciaba la disponibilidad de una versión informatizada para ser utilizada en un ordenador tipo PC compatible.

La documentación y formación necesarias son las mismas comentadas en el apartado 2.2.1.3 de esta Guía para el índice de DOW.

2.2.2.4 Ventajas/Inconvenientes

Caben los mismos comentarios que para el índice de DOW, con la consideración, en este caso, de que se tienen en cuenta mayor número de parámetros.

En cualquier caso, los valores obtenidos facilitan la clasificación relativa de las unidades en que se haya dividido la instalación en estudio, facilitando la posterior aplicación de métodos más detallados.

2.2.2.5 Ejemplos

A modo de ejemplo se incluye en la tabla 2.6 de forma más detallada y de acuerdo con lo que especifica el manual del método (versión 1985) el proceso de cálculo del índice de MOND.

TABLA 2.6 PROCESO DE CALCULO DEL INDICE DE MOND (1985)

(1) Desarrollo en sección 4 del manual.

(2) Desanollo en sección 5 del manual.

(3) Desarrollo en sección 6 del manual.

(4) Símbolo utilizado para referirse al item y posteriormente utilizado en las fórmulas de cálculo de los índices. Así se representan las  características de mezcla y dispersión del material, mientras que M representa el factor de riesgo especial del material.

(5) Desarrollo en sección 6 del manual.

(6) Este valor se encuentra en los gráficos de la figura 2.11

(7) Desarrollo en sección 9 del manual.

(8) Se calcula según el rango del material en toneladas de acuerdo con las gráficas de la figura 2.12.

(9) Desarrollo en sección 10 del manual.

(10) Desarrollo en sección 11 del manual.

(11) Desarrollo en sección 16.1 del manual.

(12) Desarrollo en sección 16.2 del manual.

(13) Desarrollo en sección 16.3 del manual.

(14) Desarrollo en sección 17.1 del manual.

(15) Desarrollo en sección 17.2 del manual.

(16) Desarrollo en sección 17.3 del manual.

En las figuras 2.11 y 2.12, respectivamente, se incluyen las gráficas a utilizar para determinar los factores de presión alta (p) y de cantidad (Q).

FIGURA 2.11 CURVAS PARA LA DETERMINACION DEL FACTOR P DE PRESION ALTA PARA EL METODO DE INDICE DE MOND (1)

(1) Ver tabla 2.6.

 

FIGURA 2.12 CURVAS PARA LA DETERMINACION DEL FACTOR Q DE CANTIDAD PARA EL METODO DE INDICE DE MOND (1)

(1) Ver tabla 2.6.

Por último, en la tabla 2.7 se reseñan las ecuaciones a aplicar para evaluar los distintos índices en función de los factores definidos.

TABLA 2.7 ECUACIONES DEL METODO DEL INDICE DE MOND

 

  1. Este valor de los índices es la correspondiente a la primera evaluación de los parámetros con tendencia pesimista en la asignación de los parámetros.

  2. Este valor de los índices corresponde a una estimación corregida más real del valor de los parámetros.

  3. Este valor de los índices toma en consideración los elementos de protección de los que dispone la instalación.

  4. Valor numérico obtenido para el índice.

  5. Categoría de índice de acuerdo con la clasificación reseñada en la tabla 2.8

AvanzarRetroceso